Welcome to Kalika Podar Learn School Jamkhed
Kalika Podar Learn School, Jamkhed
  • Affiliated to CBSE - Affiliation No. 1131239

Affiliation Documents

Here are the official CBSE affiliation documents for reference.

Balvatika Undertaking
Download
Certificate of Land
Download
Fees Structure 2025-26
Download
Transport Safety Certificate
Download
Trust Chairman & Member Details
Download
List of Books A.Y.2026-27

Class 1st to 8th

Download
CBSE School Norms Followed for Fixing Fees
Download
AS PER THE SECTION (2.4.7 (B) OF AFFILIATION BYE-LAWS, WRITTEN DECLARATION DULY SIGNED BY THE MANAGER AÑD THE PRINCIPAL TO THE EFFECT THAT THEY HAVE GONE THROUGH THE CONTENTS OF THE BOOKS PRESCRIBED BY THE SCHOOL AND OWN THE RESPONSIBILITY

AS PER THE SECTION (2.4.7 (B) OF AFFILIATION BYE-LAWS, WRITTEN DECLARATION DULY SIGNED BY THE MANAGER AÑD THE PRINCIPAL TO THE EFFECT THAT THEY HAVE GONE THROUGH THE CONTENTS OF THE BOOKS PRESCRIBED BY THE SCHOOL AND OWN THE RESPONSIBILITY

Download
Self-Affidavit
Download
Books List
Download
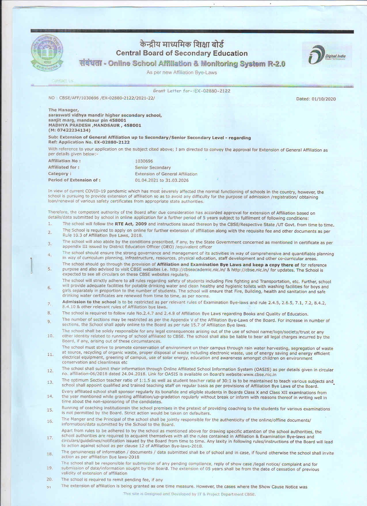
1-COPIES OF AFFILIATIONUPGRADATIONLETTER AND RECENT EXTENSION OF AFFILIATION, IF ANY
Download
2-COPIES OF SOCIETIESTRUSTCOMPANY REGISTRATIONRENEWAL CERTIFICATE, AS APPLICABLE
Download
3-COPY OF NO OBJECTION CERTIFICATE (NOC) ISSUED, IF APPLICABLE, BY THE STATE GOVT.UT
Download
5-COPY OF VALID BUILDING SAFETY CERTIFICATE AS PER THE NATIONAL BUILDING CODE
Download
6-COPY OF VALID FIRE SAFETY CERTIFICATE ISSUED BY THE COMPETENT AUTHORITY
Download
7-COPY OF THE DEO CERTIFICATION SUBMITTED BY THE SCHOOL FOR AFFILIATIONUPGRADATIONEXTENSION OF AFFILIATIONOR SELF CERTIFICATION BY SCHOOL
Download
9-1-FEE STRUCTURE OF THE SCHOOL
Download
10-2-ANNUAL ACADEMIC CALENDAR
Download
11-3-LIST OF SCHOOL MANAGEMENT COMMITTEE (SMC)
Download
12-4-LIST OF PARENTS TEACHERS ASSOCIATION (PTA) MEMBERS
Download
13-5-LAST THREE YEAR RESULT OF THE BOARD EXAMINATION (AS APPLICABLE)
Download
4-COPIES OF RECOGNITION CERTIFICATE UNDER RTE ACT, 2009, AND IT’S RENEWAL IF APPLICABLE
Download
8-COPIES OF VALID WATER, HEALTH AND SANITATION CERTIFICATES AND WATER TESTING REPORT
Download
Total Built up Area
Download
Teacher's List
Download
Self Certification Proforma
Download
CBSE EXTENTION AFFILITIAN
Download